国家药品标准物质使用说明书
双羟基奥沙利铂(奥沙利铂杂质 III)
Dihydroxyoxaliplatin(Oxaliplatin Impurity Ⅲ)
【类别】化学对照品
【批号】101101-201802
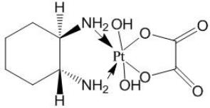
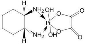
【结构式】

【分子式】C8H16N2O6Pt
【分子量】431.31
【用途】双羟基奥沙利铂对照品系供 HPLC 法有关物质定性用。
【使用方法】使用前不需干燥处理。
【包装】棕色西林瓶
【规格】25mg/支
【贮藏】避光,密闭,10-30℃保存。
【注意事项】本品应临用新制。
【有效期】国家药品标准物质不设具体有效期,按照规定条件保存的样品,在中检院发布停用通知前有效。
声明:
1.请按本品说明书规定使用,若作他用,用户须自行证明适用性;
2.因用户使用或储存不当所引起的损害或投诉,用户自行承担相关责任;
3.用户收到本品后应立即核对品种、数量、包装等,若出现质量、数量等不符,相关赔偿只限于标准物质本身,不涉及其他任何损失。