国家药品标准物质使用说明书
罗库溴铵杂质 V
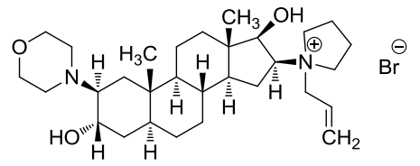
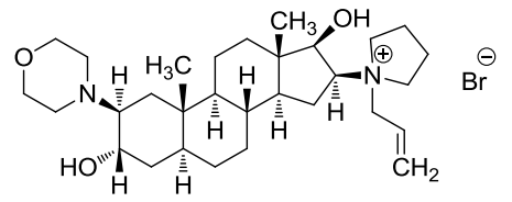
溴化 1-烯丙基-1-[3β,17β-(二羟基)-2β-(吗啉-1-基)-5α-雄甾-16β-基]吡咯烷鎓
Rocuronium Bromide Impurity V
(1-[3α,17β-dihydroxy-2β-(morpholin-4-yl)-5α-androstan-16β -yl]-1-(prop-2-enyl)pyrrolidinium Bromide)
【类别】化学对照品
【批号】101366-201501
【结构式】

【分子式】C30H51BrN2O3
【分子量】567.64
【CAS 号】119302-86-2
【用途】供 HPLC 法系统适用性试验用。
【包装】棕色西林瓶
【规格】20mg/支
【贮藏】遮光,2-8℃保存。
【使用方法】使用前不需干燥处理。
【色谱图】
罗库溴铵及罗库溴铵杂质 I-V 混合溶液色谱图
Thermo Scientific Syncronis Silica C18 硅胶柱,4.6×250mm,5μm
【有效期】国家药品标准物质不设具体有效期,按照规定条件保存的样品,在中检院发布停用通知前有效。
声明:
1.请按本品说明书规定使用,若作他用,用户须自行证明适用性;
2.因用户使用或储存不当所引起的损害或投诉,用户自行承担相关责任;
3.用户收到本品后应立即核对品种、数量、包装等,若出现质量、数量等不符,相关赔偿只限于标准物质本身,不涉及其他任何损失。