国家药品标准物质使用说明书
哌库溴铵
Pipecuronium Bromide
【类别】 化学对照品
【批号】 101367-201701
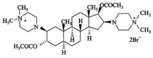
【结构式】

【分子式】 C35H62Br2N4O4
【分子量】 762.7
【CAS号】 52212-02-9
【用途】供含量测定用。 本品仅供国家药品标准对应项下检验检测用。
【特性量值】供高效液相色谱法测定, 按C35H62Br2N4O4计, 含量为97.0%。
【使用方法】 使用前不需干燥处理。
【包装】 棕色安瓿
【规格】 100mg/支
【贮藏】 避光, 2-8℃保存。
【注意事项】 本品极具引湿性, 相对湿度小于 60%以下称量, 打开包装后一次性使用完毕。
【有效期】国家药品标准物质不设具体有效期,按照规定条件保存的样品,在中检院发布停用通知前有效。
声明:
1.请按本品说明书规定使用,若作他用,用户须自行证明适用性;
2.因用户使用或储存不当所引起的损害或投诉,用户自行承担相关责任;
3.用户收到本品后应立即核对品种、数量、包装等,若出现质量、数量等不符,相关赔偿只限于标准物质本身,不涉及其他任何损失。