国家药品标准物质使用说明书
雷米普利杂质Ⅳ(雷米普利二酮哌嗪)
Ramipril impurity Ⅳ(Ramipril Diketopiperazine)
【类别】化学对照品
【批号】101379-201501
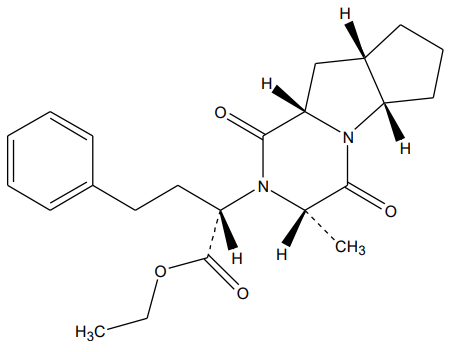
【结构式】
【分子式】C23H30N2O4
【分子量】398.50
【CAS 号】108731-95-9
【用途】供 HPLC 法系统适用性试验用。
【包装】棕色西林瓶
【规格】50mg/支
【贮藏】遮光,10-30℃密闭保存。
【使用方法】使用前不需干燥处理。
【色谱图】

雷米普利,雷米普利杂质Ⅳ、Ⅴ、Ⅵ混合溶液分离度图谱
(色谱柱:NUCLEOSIL 100-5 C18 250*4.6mm)
【有效期】国家药品标准物质不设具体有效期,按照规定条件保存的样品,在中检院发布停用通知前有效。
声明:
1.请按本品说明书规定使用,若作他用,用户须自行证明适用性;
2.因用户使用或储存不当所引起的损害或投诉,用户自行承担相关责任;
3.用户收到本品后应立即核对品种、数量、包装等,若出现质量、数量等不符,相关赔偿只限于标准物质本身,不涉及其他任何损失。