JSRM-国家标准物质销售平台www.bzwz.net.cn/shop
全国免费客服热线:400-885-6122
产品信息
编号:NIFDC-101432 英文:
名称:富马酸替诺福韦二吡呋酯杂质 [Mono-POC PMPA (单酯) ] 品牌:中检院
CAS:211364-69-1 分类:中国药典CP(中检院对照品)
包装 规格 库存 售价 数量
20mg,含量/限量测定 6 1500.0 加入购物车
详细描述:(样板仅参考,具体需参照对应批次证书)

国家药品标准物质使用说明书

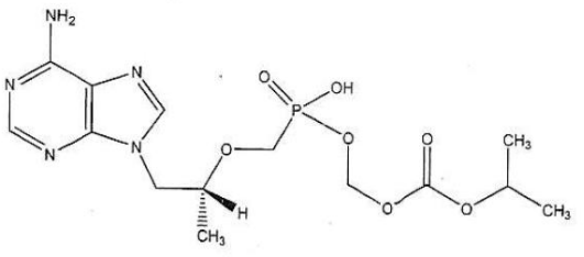
富马酸替诺福韦二吡呋酯杂质 [Mono-POC PMPA (单酯) ]

(((((R)-1-(6-amino-9H-purin-9-yl)propan-2-yl)oxy)methyl)(hydroxy)phosphoryl)oxy)methyl isopropyl carbonate

【类别】化学对照品

【批号】101432-201901

【结构式】

【分子式】C14H22N5O7P

【分子量】403.33

【CAS 号】211364-69-1

【用途】供检查用。仅供国家药品标准对应项下检验检测用。

【特性量值】按 C14H22N5O7P 计,供 HPLC 法测定,含量为 93.6%。

【使用方法】使用前不需干燥处理。

【包装】棕色安瓿

【规格】20mg/支

【贮藏】避光,密闭,10-30℃保存。

【注意事项】本品有引湿性,打开包装一次性使用完毕。

【有效期】国家药品标准物质不设具体有效期,按照规定条件保存的样品,在中检院发布停用通知前有效。

声明:

1.请按本品说明书规定使用,若作他用,用户须自行证明适用性;

2.因用户使用或储存不当所引起的损害或投诉,用户自行承担相关责任;

3.用户收到本品后应立即核对品种、数量、包装等,若出现质量、数量等不符,相关赔偿只限于标准物质本身,不涉及其他任何损失。


©copyRight 2024 北京嘉世玉禾化工技术研究院 All Rights Reserved. 京ICP备15024501号-1