JSRM-国家标准物质销售平台www.bzwz.net.cn/shop
全国免费客服热线:400-885-6122
产品信息
编号:NIFDC-101434 英文:
名称:富马酸替诺福韦二吡呋酯异构体 品牌:中检院
CAS:1432630-26-6 分类:中国药典CP(中检院对照品)
包装 规格 库存 售价 数量
20mg,其他,其他,其他 6 1500.0 加入购物车
详细描述:(样板仅参考,具体需参照对应批次证书)

国家药品标准物质使用说明书

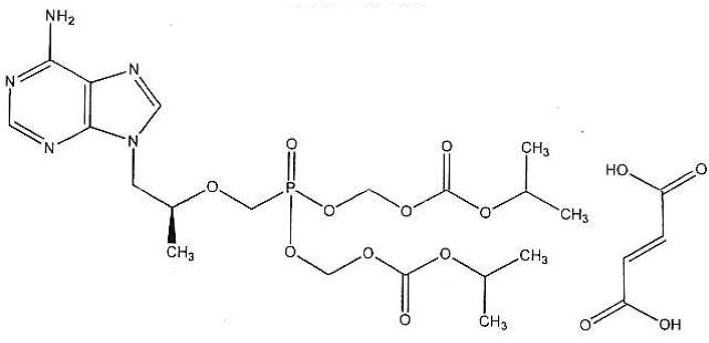
富马酸替诺福韦二吡呋酯异构体

Tenofovir Disoproxil Fumarate Isomer

【类别】化学对照品

【批号】101434-201901

【结构式】

【分子式】C23H34N5O14P

【分子量】635.52

【CAS 号】1432630-26-6

【用途】供 HPLC 法系统适用性试验用。仅供国家药品标准对应项下检验检测用。

【使用方法】使用前不需干燥处理。

【包装】棕色安瓿

【规格】20mg/支

【贮藏】避光,密闭,2-8℃保存。

【注意事项】临用新制,溶液 4-8℃进样,建议一次性使用完毕。

【有效期】国家药品标准物质不设具体有效期,按照规定条件保存的样品,在中检院发布停用通知前有效。

声明:

1.请按本品说明书规定使用,若作他用,用户须自行证明适用性;

2.因用户使用或储存不当所引起的损害或投诉,用户自行承担相关责任;

3.用户收到本品后应立即核对品种、数量、包装等,若出现质量、数量等不符,相关赔偿只限于标准物质本身,不涉及其他任何损失。


©copyRight 2024 北京嘉世玉禾化工技术研究院 All Rights Reserved. 京ICP备15024501号-1