国家药品标准物质使用说明书
菝葜皂苷元
Sarsasapogenin
【类别】 化学对照品
【批号】 110744-201711
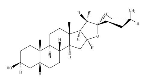
【结构式】

【分子式】 C27H44O3
【分子量】 416.62
【CAS 号】 126-19-2
【用途】 菝葜皂苷元(Sarsasapogenin ) 对照品系供中国药典 2015版一部小儿止咳糖浆、 抗病毒口服液鉴别及含量测定用。
【特性量值】 含量以 94.8%计。
【使用方法】 使用前不需干燥处理
【包装】 棕色安瓿
【规格】 20mg/支
【贮藏】 2~10℃保存
【有效期】国家药品标准物质不设具体有效期, 按照规定条件保存的标准物质, 在中检院发布停用通知前有效。
声明:
1.请按本品说明书规定使用, 若作他用, 用户须自行证明适用性;
2.因用户使用或储存不当所引起的损害或投诉,用户自行承担相关责任;
3.用户收到本品后应立即核对品种、 数量、 包装等, 若出现质量、 数量等不符, 相关赔偿只限于标准物质本身, 不涉及其他任何损失。(出过的批次:201310:95%;201711:94.8%)