国家药品标准物质使用说明书
左旋紫草素
Shikonin
【类别】化学对照品
【批号】110769-200506
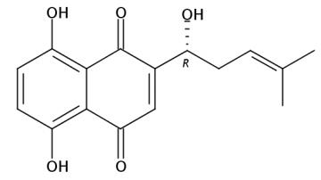
【结构式】

【分子式】C16H16O5
【分子量】288.31
【用途】左旋紫草素(Shikonin)对照品系供中国药典 2000 版一部中紫草和卫生部药品标准中药成方制剂第 19 册中复方紫草油等项下鉴别或含量测定用。
【包装】棕色瓶
【贮藏】干燥密闭保存。
【有效期】国家药品标准物质不设具体有效期,按照规定条件保存的样品,在中检院发布停用通知前有效。
声明:
1.请按本品说明书规定使用,若作他用,用户须自行证明适用性;
2.因用户使用或储存不当所引起的损害或投诉,用户自行承担相关责任;
3.用户收到本品后应立即核对品种、数量、包装等,若出现质量、数量等不符,相关赔偿只限于标准物质本身,不涉及其他任何损失。