国家药品标准物质使用说明书
2,3,5,4’-四羟基二苯乙烯-2-O-β-D-葡萄糖苷
2,3,5,4’-tetrahydroxystilbene-2-O-β-D-glucoside
【类别】化学对照品
【批号】110844-202317
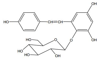
【结构式】

【分子式】C20H22O9
【分子量】406.38
【CAS 号】82373-94-2
【用途】2, 3, 5, 4’-四羟基二苯乙烯-2-O-β-D-葡萄糖苷(2, 3,5, 4’-tetrahydroxystilbene-2-O-β-D-glucoside)对照品系供《中国药典》2020 年版一部何首乌及制何首乌等项下含量测定用。
【特性量值】含量以 97.9%计。
【使用方法】使用前不需干燥处理。
【包装】棕色安瓿
【规格】20mg/支
【贮藏】-20℃保存。
【注意事项】本品极具引湿性,建议打开包装后一次性使用完毕。
【有效期】国家药品标准物质不设具体有效期,按照规定条件保存的样品,在中检院发布停用通知前有效。
声明:
1.请按本品说明书规定使用,若作他用,用户须自行证明适用性;
2.因用户使用或储存不当所引起的损害或投诉,用户自行承担相关责任;
3.用户收到本品后应立即核对品种、数量、包装等,若出现质量、数量等不符,相关赔偿只限于标准物质本身,不涉及其他任何损失。