JSRM-国家标准物质销售平台www.bzwz.net.cn/shop
全国免费客服热线:400-885-6122
产品信息
编号:NIFDC-100056 英文:Deslanoside
名称:■去乙酰毛花苷对照品 品牌:中检院
CAS:17598-65-1 分类:中国药典CP(中检院对照品)
包装 规格 库存 售价 数量
100mg,HPLC含量测定 0.0 加入购物车
详细描述:(样板仅参考,具体需参照对应批次证书)

国家药品标准物质使用说明书

去乙酰毛花苷

Deslanoside

管制产品说明:
名称中带有“■”且编号为10或17开头的品种:请提供开票信息(不需盖章)以及所在省、直辖市或自治区食品药品监督管理局开具的购买许可证或批文(如有申批权下放的情况,需要携带相关的通知或文件证明);如果为部队系统(武警系统除外)的机构,需提供中国人民解放军总后勤部卫生部开具的购买许可证或批文。

【类别】化学对照品

【批号】100056-201604

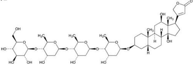
【结构式】

【分子式】C47H74O19

【分子量】943.09

CAS 号】17598-65-1

【用途】供 HPLC 法含量测定用。

【特性量值】按 C47H74O19计,含量为 98.0%

【包装】棕色西林瓶

【规格】100mg/

【贮藏】遮光,10-30℃密闭保存。

【使用方法】减压干燥 24 小时后使用。

【注意事项】本品具引湿性,建议 RH50%以下使用。

【有效期】国家药品标准物质不设具体有效期,按照规定条件保存的标准物质,在中检院发布停用通知前有效。
声明:
1.请按本品说明书规定使用,若作他用,用户须自行证明适用性;
2.因用户使用或储存不当所引起的损害或投诉,用户自行承担相关责任;
3.用户收到本品后应立即核对品种、数量、包装等,若出现质量、数量等不符,相关赔偿只限于标准物质本身,不涉及其他任何损失。



©copyRight 2024 北京嘉世玉禾化工技术研究院 All Rights Reserved. 京ICP备15024501号-1