JSRM-国家标准物质销售平台www.bzwz.net.cn/shop
全国免费客服热线:400-885-6122
产品信息
编号:NIFDC-100125 英文:Triamcinolone Acetonide Acetate
名称:醋酸曲安奈德 品牌:中检院
CAS:3870-07-3 分类:中国药典CP(中检院对照品)
包装 规格 库存 售价 数量
100mg,HPLC法鉴别和含量测定 195.0 加入购物车
详细描述:(样板仅参考,具体需参照对应批次证书)

国家药品标准物质使用说明书

醋酸曲安奈德

Triamcinolone Acetonide Acetate

【类别】化学对照品

【批号】100125-202007

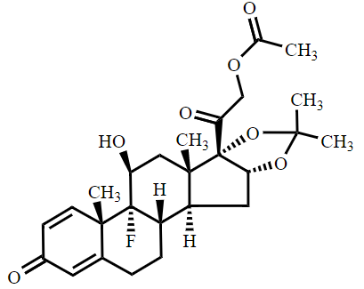
【结构式】

 

【分子式】C26H33FO7

【分子量】476.54

CAS 号】3870-07-3

【用途】供 HPLC 法鉴别和含量测定用。

【特性量值】以 C26H33FO7计,含量为 98.4%。

【使用方法】使用前不需干燥处理。

【包装】棕色西林瓶

【规格】100mg/支

【贮藏】避光,10-30℃保存。

【注意事项】本品略有引湿性,开封后应密闭保存。

【有效期】国家药品标准物质不设具体有效期,按照规定条件保存的样品,在中检院发布停用通知前有效。

声明:

1.请按本品说明书规定使用,若作他用,用户须自行证明适用性;

2.因用户使用或储存不当所引起的损害或投诉,用户自行承担相关责任;

3.用户收到本品后应立即核对品种、数量、包装等,若出现质量、数量等不符,相关赔偿只限于标准物质本身,不涉及其他任何损失。


©copyRight 2024 北京嘉世玉禾化工技术研究院 All Rights Reserved. 京ICP备15024501号-1