国家药品标准物质使用说明书
枸橼酸莫沙必利
Mosapride Citrate
【类别】化学对照品
【批号】100656-201903
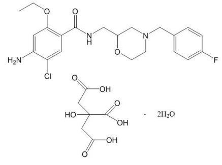
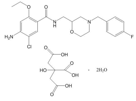
【结构式】

【分子式】C21H25ClFN3O3·C6H8O7·2 H2O
【分子量】650.05
【CAS 号】636582-62-2
【用途】供红外鉴别、TLC 鉴别、含量测定用。
【特性量值】按 C21H25ClFN3O3·C6H8O7计,含量为 94.2%。
【使用方法】使用前不需干燥处理。
【包装】棕色西林瓶
【规格】100mg/支
【贮藏】遮光,密闭,10-30℃保存。
【有效期】国家药品标准物质不设具体有效期,按照规定条件保存的样品,在中检院发布停用通知前有效。
声明:
1.请按本品说明书规定使用,若作他用,用户须自行证明适用性;
2.因用户使用或储存不当所引起的损害或投诉,用户自行承担相关责任;
3.用户收到本品后应立即核对品种、数量、包装等,若出现质量、数量等不符,相关赔偿只限于标准物质本身,不涉及其他任何损失。