国家药品标准物质使用说明书
利拉萘酯
Liranaftate
【类别】化学对照品
【批号】100791-201802
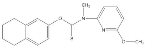
【结构式】

【分子式】C18H20N2O2S
【分子量】328.43
【CAS 号】88678-31-3
【用途】本品供利拉萘酯品种 HPLC 含量测定用。
【特性量值】以 C18H20N2O2S 计,含量为 99.6%。
【使用方法】使用前不需干燥处理。
【包装】棕色直管瓶
【规格】100mg/支
【贮藏】10-30℃保存。
【注意事项】本品建议打开包装一次性使用完毕。注意避光。
【有效期】国家药品标准物质不设具体有效期,按照规定条件保存的样品,在中检院发布停用通知前有效。
声明:
1.请按本品说明书规定使用,若作他用,用户须自行证明适用性;
2.因用户使用或储存不当所引起的损害或投诉,用户自行承担相关责任;
3.用户收到本品后应立即核对品种、数量、包装等,若出现质量、数量等不符,相关赔偿只限于标准物质本身,不涉及其他任何损失。